Accessibility: Skip TopNav
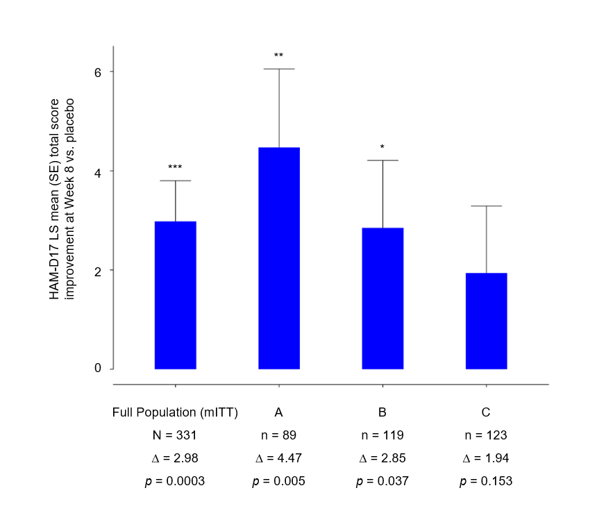
Week 8 vs. Placebo Full Population and Subgroups
HAM-D17 LS mean (SE) total score improvement at Week 8 vs. placebo
Format
PNG
Source
HMNC Holding GmbH
Downloads
Original
Large
Medium
Small