NOT FOR DISTRIBUTION TO U.S. NEWSWIRE SERVICES OR FOR DISSEMINATION IN THE UNITED STATES
Calgary, AB, Canada, Oct. 18, 2022 (GLOBE NEWSWIRE) -- Volt Carbon Technologies Inc. (“Volt Carbon” or the “Company”) (TSX-V: VCT & OTCQB:TORVF), is pleased to announce the commissioning of a Thermogravimetric analysis (TGA) machine at its Guelph Plant. The TGA method is based on measurement of a material’s mass loss as a function of temperature. Volt’s new machine has capability to test materials up to 1100°C which is in the proper range required for graphene and graphite testing and characterization.
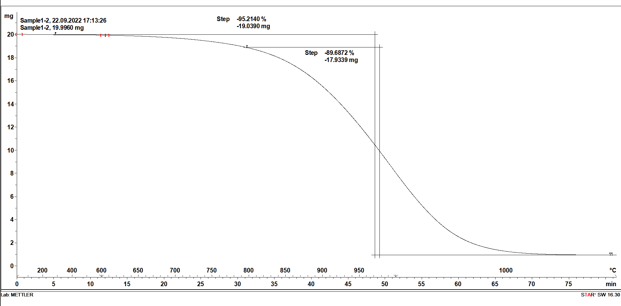
A sample TGA graph of previously separated graphite flakes taken from Volts air classification process is shown below. The plot indicates Graphite (Cg) purities of 89.68% and total Carbon (C) and Cg at 95.21%.
The TGA results will enable Volt to determine the quality and purity of the graphite materials that is separated from the air classifier. Having this capability in-house enables Volt to obtain TGA results within hours of processing. Subsequently Volt can make in situ process adjustments with the real time data in its attempt to improve graphite separation efficacy. Previously, the turnaround times were observed at 2-4 weeks for each batch of process material that requires TGA. This approach had substantially constrained development times of the air classification trials graphite ore samples. Typically, 4 batches of TGA is required in series to iteratively dial in the air classifier flow settings and adjust the air classifier screening decks. By bringing this capability in house, Volt can now report out graphite results from start to finish including assessment of initial head grades at substantially faster turnaround times compared to previous methods using of outside labs. As a result of this new capability, Volt’s goal of turnaround time for air classification of graphite ore is within one month for a 100kg sample of graphite ore crushed to 10-12 mesh. The new TGA capability will enable Volt to attempt to further scale and develop its proprietary air classifier technology expediently.
About Volt Carbon
Volt Carbon is a publicly traded carbon science company, with specific interests in energy storage and green energy creation and green re-creation, with holdings in graphite mining claims in the province of Quebec in Canada. For the latest information on Volt Carbon’s properties and news please refer to the website: http://www.voltcarbontech.com/
On behalf of the Board of Directors
Volt Carbon Technologies Inc.
William Pfaffenberger, Chairman of the Board, Chief Executive Officer and President
Information Contact:
Email: info@voltcarbontech.com
Tel: (250) 381-6181
Neither TSX Venture Exchange nor its Regulation Services Provider (as that term is defined in the policies of the TSX Venture Exchange) accepts responsibility for the adequacy or accuracy of this release.
FORWARD LOOKING STATEMENTS: This press release contains forward-looking statements, within the meaning of applicable securities legislation, concerning Volt Carbon’s business and affairs. In certain cases, forward-looking statements can be identified by the use of words such as ‘‘plans’’, ‘‘expects’’ or ‘‘does not expect’’, “intends” ‘‘budget’’, ‘‘scheduled’’, ‘‘estimates’’, “forecasts’’, ‘‘intends’’, ‘‘anticipates’’ or variations of such words and phrases or state that certain actions, events or results ‘‘may’’, ‘‘could’’, ‘‘would’’, ‘‘might’’ or ‘‘will be taken’’, ‘‘occur’’ or ‘‘be achieved’’. Such forward-looking statements include those with respect to: (i) management’s belief that the patent filing will result in a patent grant. (ii) the expectation that the technology will gain market acceptance (iii) the expectation that the air classifier will result in disruptive commercialization of a product.
Statements of past performance should not be construed as an indication of future performance. Forward-looking statements involve significant risks and uncertainties, should not be read as guarantees of future performance or results, and will not necessarily be accurate indications of whether or not such results will be achieved. A number of factors, including those discussed above, could cause actual results to differ materially from the results discussed in the forward-looking statements. Any such forward-looking statements are expressly qualified in their entirety by this cautionary statement.
All of the forward-looking statements made in this press release are qualified by these cautionary statements. Readers are cautioned not to place undue reliance on such forward-looking statements. Forward-looking information is provided as of the date of this press release, and Volt Carbon assumes no obligation to update or revise them to reflect new events or circumstances, except as may be required under applicable securities legislation.